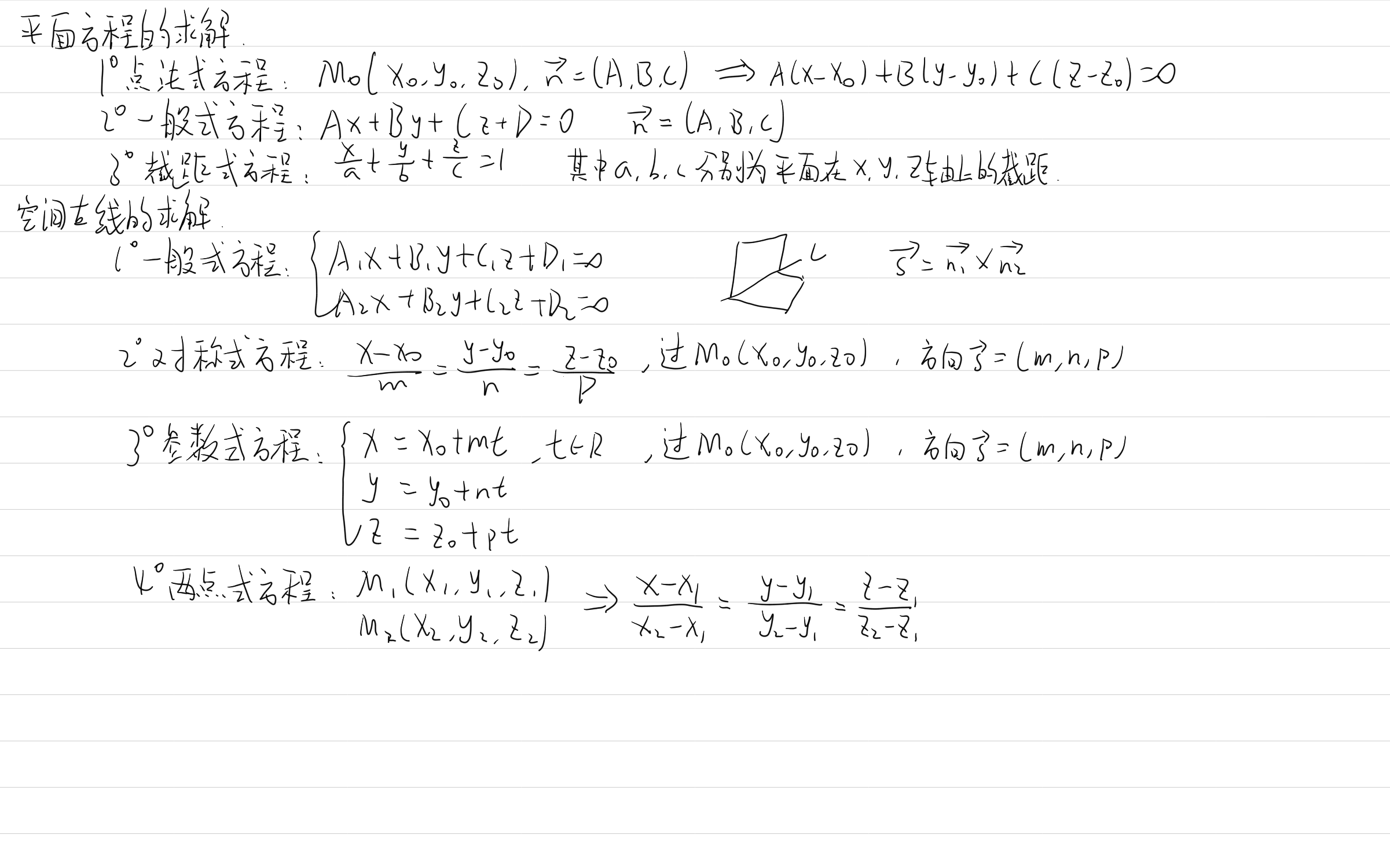
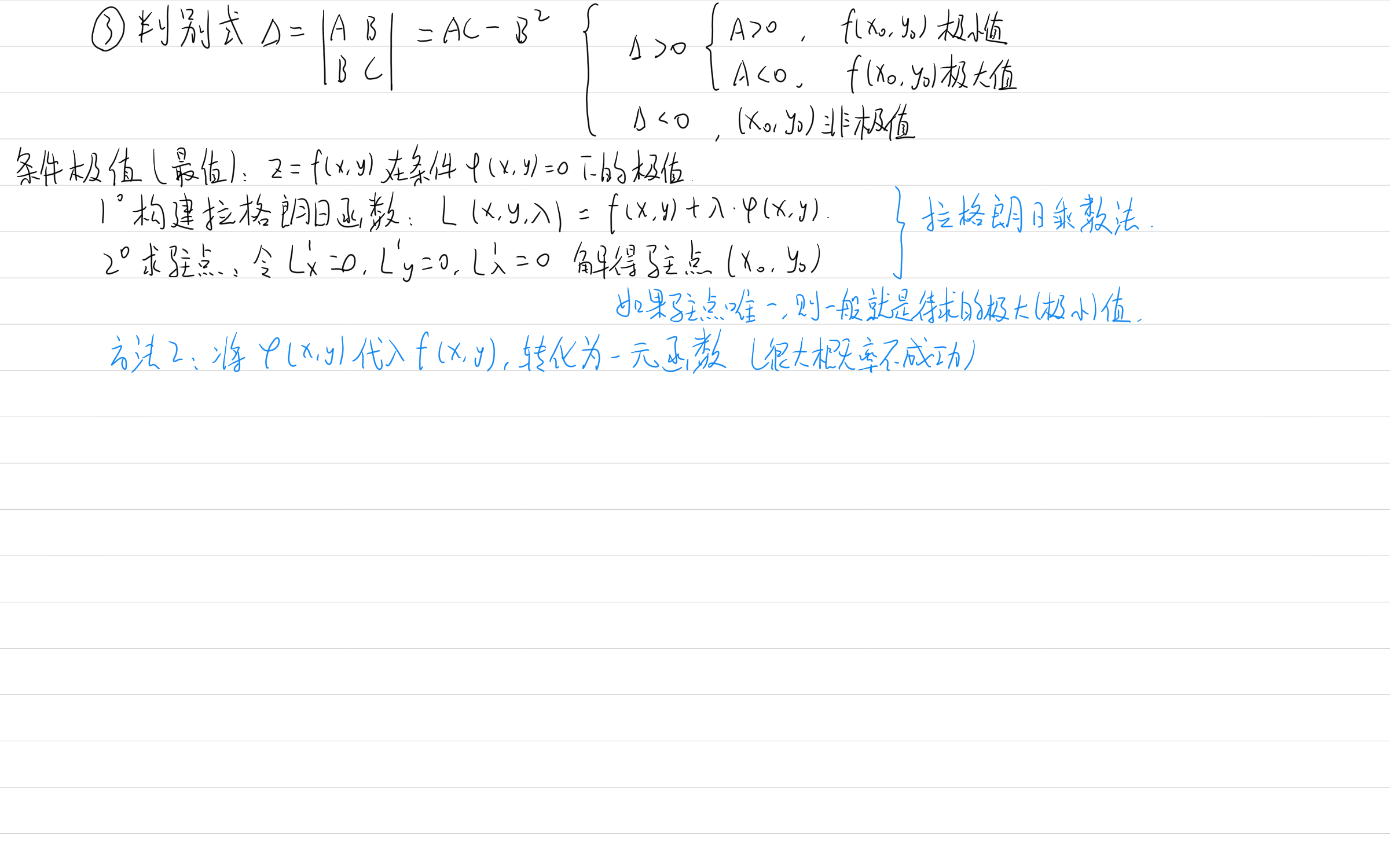
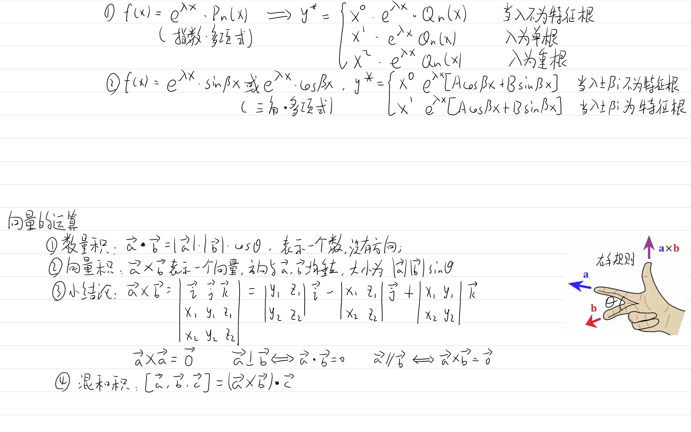
高等数学下学习笔记


















https://www.bilibili.com/video/BV1Hu411s7J1

对着速成课抄了两天的笔记,结果发现在真题面前这些玩意没一点用,我tm。。。。。。(以下省略-2147483648字)

  • 版权声明: 本博客所有文章除特别声明外,著作权归作者所有。转载请注明出处!
  • Copyrights © 2023-2026 rhzhr's blog
  • 访问人数: | 浏览次数:

请我喝杯咖啡吧~

支付宝
微信